Alclofenac

Alclofenac
Clinical data
AHFS/Drugs.comInternational Drug Names
ATC code
Identifiers
  • 2-(3-chloro-4-prop-2-enoxyphenyl)acetic acid
CAS Number
PubChem CID
ChemSpider
UNII
KEGG
ChEMBL
CompTox Dashboard (EPA)
ECHA InfoCard100.040.709
Chemical and physical data
FormulaC11H11ClO3
Molar mass226.66 g·mol−1
3D model (JSmol)
  • Clc1cc(ccc1OC\C=C)CC(=O)O
  • InChI=1S/C11H11ClO3/c1-2-5-15-10-4-3-8(6-9(10)12)7-11(13)14/h2-4,6H,1,5,7H2,(H,13,14) checkY
  • Key:ARHWPKZXBHOEEE-UHFFFAOYSA-N checkY
  (verify)

Alclofenac is a nonsteroidal anti-inflammatory drug (NSAID).

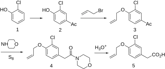
Synthesis

Alclofenac synthesis pathway[1][2][3]

References

  1. ^ Gaviraghi G, Banfi S, Cornelli U, Pinza M, Pifferi G (April 1977). "Synthesis and antiinflammatory activity of 3-chloro-4-cyclopropylmethoxyphenylacetic acid and its alpha-methyl homologue". Il Farmaco; Edizione Scientifica. 32 (4): 286–95. PMID 862882.
  2. ^ CA 831040, Gillet C, Buu HN, Lambelin G, "Substituted Phenylacetic Acids and Processes of Preparation Thereof", published 30 December 1969, assigned to Madan Ag 
  3. ^ US 3824277, Gillet C, Buu HN, Lambelin G, "4-Allyloxy-3-chloro-phenyl-acetic acid", published 16 July 1974, assigned to Madan Ag