Allylic rearrangement

An allylic rearrangement or allylic shift is an organic chemical reaction in which reaction at a center vicinal to a double bond causes the double bond to shift to an adjacent pair of atoms:

SN2 accent reaction mechanism

It is encountered in both nucleophilic and electrophilic substitution, although it is usually suppressed relative to non-allylic substitution. For example, reaction of 1-chloro-2-butene with sodium hydroxide gives 2-buten-1-ol and 3-buten-2-ol:

reaction of 1-chloro-but-2-ene with sodium hydroxide

In the similar substitution of 1-chloro-3-methyl-2-butene, the secondary 2-methyl-3-buten-2-ol is produced in a yield of 85%, while that for the primary 3-methyl-2-buten-1-ol is 15%.

Allylic shifts occur because the transition state is an allyl intermediate. In other respects they are similar to classical nucleophilic substitution, and admit both bimolecular and monomolecular mechanisms (respectively the SN2' and SN1'/SNi' substitutions).

Scope

Allylic shifts become the dominant reaction pathway when there is substantial resistance to a normal (non-allylic) substitution. For nucleophilic substitution, such resistance is known when there is substantial steric hindrance at or around the leaving group, or if there is a geminal substituent destabilizing an accumulation of positive charge. The effects of substitution at the vinyl group are less clear.[1] Metal complexes that admit an allyl ligand also catalyze allylic substitution, sometimes to rates exceeding direct substitution.[2]

Although rarer still than SN', allylic shifts can occur vinylogously, as a "butadienylic shift":[3]

A macrocyclization: a 1,5-pentanedithiol terminus attacks the butadiene tail of a 1-substituted 2,4-pentadien-2-yl aryl ketone. Instead of forming an enol, the compound undergoes an allylic shift, expulsing the 1-substituent and leaving a 5-thioether 1,3-pentadien-2-yl ketone. The other end of the thiol then adds to the ketone in conjugate.
MeOH is methanol solvent; (i‑Pr)2EtN is catalytic diisopropylethylamine

SN2' reduction

In SN2' reduction, a hydride allylically displaces a good leaving group in a formal organic reduction, similar to the Whiting diene synthesis. One example occurred in taxol total synthesis (ring C):[4]

SN2 reduction

The hydride is lithium aluminium hydride and the leaving group a phosphonium salt; the allylic shift causes the exocyclic double bond in the product. Only when the cyclohexane ring is properly substituted will the proton add trans to the adjacent methyl group.

Electrophilic allyl shifts

Allyl shifts can also take place with electrophiles. In the example below the carbonyl group in benzaldehyde is activated by diboronic acid prior to reaction with the allyl alcohol (see: Prins reaction):[5]

Electrophilic allyl shift

The active catalyst system in this reaction is a combination of a palladium pincer compound and p-toluenesulfonic acid, the reaction product is obtained as a single regioisomer and stereoisomer.

Examples

Repeated allylic shifts can "flip-flop" a double-bond between two possible locations:[6]

A diene epoxide (from Jacobsen epoxidation) adds a pyrazole with an allylic shift. Then methylmagnesium bromide expulses the pyrazole with another allylic shift, returning the remaining double-bond to its original position.

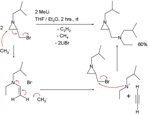
An SN2' reaction should explain the outcome of the reaction of an aziridine carrying a methylene bromide group with methyllithium:[7]

conversion of 1-alkyl-2-(bromomethyl)aziridines into 1-alkyl-2-(N-alkyl-N-ethylaminomethyl)aziridines

In this reaction one equivalent of acetylene is lost.

Named reactions

References

  1. ^ DeWolfe, Robert H.; Young, William G. (1964-01-01), Patai, Saul (ed.), "Allylic reactions", The Alkenes: Vol. 1 (1964), Chichester, UK: John Wiley & Sons, Ltd., pp. 690–691, doi:10.1002/9780470771044.ch10, ISBN 978-0-470-77104-4, retrieved 2024-03-10 {{citation}}: ISBN / Date incompatibility (help)
  2. ^ Trost, Barry Martin (1988-01-01). "Chemical Chameleons: Organosulfones as synthetic building blocks". Bulletin of the Chemical Society of Japan. 61 (1): 107–124. doi:10.1246/bcsj.61.107. ISSN 0009-2673.
  3. ^ Molecular yardsticks. Synthesis of extended equilibrium transfer alkylating cross-link reagents and their use in the formation of macrocycles Stephen J. Brocchini, Martin Eberle, and Richard G. Lawton J. Am. Chem. Soc.; 1988; 110(15) pp 5211 - 5212; doi:10.1021/ja00223a061
  4. ^ Synthetic Studies on Taxol: Highly Stereoselective Construction of the Taxol C-Ring via SN2' Reduction of an Allylic Phosphonium Salt Masayuki Utsugi, Masayuki Miyano, and Masahisa Nakada Org. Lett.; 2006; 8(14) pp 2973 - 2976; (Letter) doi:10.1021/ol0608606
  5. ^ Highly Selective and Robust Palladium-Catalyzed Carbon-Carbon Coupling between Allyl Alcohols and Aldehydes via Transient Allylboronic Acids Nicklas Selander, Sara Sebelius, Cesar Estay, Kálmán J. Szabó European Journal of Organic Chemistry Volume 2006, Issue 18 , Pages 4085 - 4087 doi:10.1002/ejoc.200600530
  6. ^ Double Lawton SN2' Addition to Epoxyvinyl Sulfones: Selective Construction of the Stereotetrads of Aplyronine A Ahmad El-Awa and Philip Fuchs Org. Lett.; 2006; 8(14) pp 2905 - 2908; (Letter) doi:10.1021/ol060530l
  7. ^ Highly unusual conversion of 1-alkyl-2-(bromomethyl)aziridines into 1-alkyl-2-(N-alkyl-N-ethylaminomethyl)aziridines using methyllithium Matthias D'hooghe and Norbert De Kimpe Chem. Commun., 2007, 1275 - 1277, doi:10.1039/b616606g