Free-radical addition

In organic chemistry, free-radical addition is an addition reaction which involves free radicals. These reactions can happen due to the free radicals having an unpaired electron in their valence shell, making them highly reactive. [1] Radical additions are known for a variety of unsaturated substrates, both olefinic or aromatic and with or without heteroatoms.

Free-radical reactions depend on one or more relatively weak bonds in a reagent. Under reaction conditions (typically heat or light), some weak bonds homolyse into radicals, which then induce further decomposition in their compatriots before recombination. Different mechanisms typically apply to reagents without such a weak bond.

Mechanism and regiochemistry

Radical hydrobromination of an alkene

The basic steps in any free-radical process (the radical chain mechanism) divide into:[2]

In a free-radical addition, there are two chain propagation steps. In one, the adding radical attaches to a multiply-bonded precursor to give a radical with lesser bond order. In the other, the newly-formed radical product abstracts another substituent from the adding reagent to regenerate the adding radical.[3]: 743–744 

In general, the adding radical attacks the alkene at the most sterically accessible (typically, least substituted) carbon; the radical then stabilizes on the more substituted carbon.[3]: 188, 751  The result is typically anti-Markovnikov addition, a phenomenon Morris Kharasch called the "peroxide effect".[4] Reaction is slower with alkynes than alkenes.[3]: 750 

In the paradigmatic example, hydrogen bromide radicalyzes to monatomic bromine. These bromine atoms add to an alkene at the most accessible site, to give a bromoalkyl radical, with the radical on the more substituted carbon. That radical then abstracts a hydrogen atom from another HBr molecule to regenerate the monatomic bromine and continue the reaction.[3]: 758 

Compounds that add radically

Radical addition of hydrogen bromide is a valuable synthetic technique for anti-Markovnikov carbon substitution, but free-radical addition does not occur with the other hydrohalic acids. Radical formation from HF, HCl, or HI is extremely endothermic and chemically disfavored.[3]: 692–694  Hydrogen bromide is incredibly selective as a reagent,[3]: 687–688  and does not produce detectable quantities of polymeric byproducts.[5]: 156–157 

The behavior of hydrogen bromide generalizes in two separate directions. Halogenated compounds with a relatively stable radical can dissociate from the halogen. Thus, for example, sulfonyl, sulfenyl, and other sulfur halides can add radically to give respectively β‑halo sulfones, sulfoxides, or sulfides.[5]: 200, 204, 206 

Separately, unsubsituted compounds with a relative stable radical can dissociate from hydrogen. In general, these reactions risk polymerized byproducts (see § Side reactions). For example, in the thiol-ene reaction, thiols,[5]: 165–166  disulfides,[5]: 207  and hydrogen sulfide[5]: 191  add across a double bond. But if the unsaturated substrate polymerizes easily, they catalyze polymerization instead.[5]: 171–172  In thermal silane additions, telomerization usually proceeds to about 6 units.[5]: 211 

In the case of silicon, germanium, or phosphorus, the energetics are unfavorable unless the heavy atom bears a pendant hydrogen.[5]: 209, 217–219  Other electronegative substituents on silicon appear to reduce the barrier.[5]: 213, 217–224 

Although nitrogen oxides naturally radicalize, careful control of the radical species is difficult. Dinitrogen tetroxide adds to give a mixture: a vicinal dinitro compound, but also a nitro substituent adjacent to a nitrite ester.[5]: 225 

To aryl radicals

Although aromatic resonance stabilizes aryl radicals, bonds between arenes and their substituents are (in)famously strong. Radical reactions with arenes typically present retrosynthetically as instances of nucleophilic aromatic substitution, because generating the aryl radical requires a strong (radical) leaving group.[3]: 686–687  One example is the Meerwein arylation.

Side reactions

A radical addition which leaves an unsaturated product can undergo radical cyclization between the two propagation steps.[3]: 744  In general, radical additions can also start radical polymerization processes.[5]: 171–172 

With stable inorganic radicals

A self-terminating radical cyclization reaction scheme
Self-terminating oxidative radical cyclization

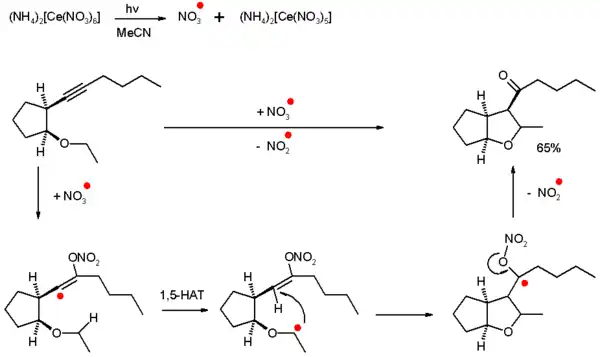
In self-terminating oxidative radical cyclization, inorganic radicals oxidize alkynes to ketones through an intramolecular radical cyclization. This reaction is not catalytic, and requires the oxidized radical source in stoichiometric amounts. In effect, the radical species is synthetically equivalent to monatomic oxygen.[6]

In the paradigmatic example, a nitrate radical (from photolysis of ceric ammonium nitrate) adds to an alkyne to generate a very reactive vinyl nitrate ester radical. The vinyl radical abstracts an intramolecular hydrogen atom 5 atoms away before 5-exo-trig ring-closure. The resulting alkyl nitrate radical can then fragment to a ketone and the stable radical nitrogen dioxide.[6]

Sulfate (from ammonium persulfate) and hydroxyl radicals show similar reactivity.[6]

See also

The other radical reactions:

References

  1. ^ McMurry, John; Emeritus, Professor (20 September 2023). "6.6 Radical Reactions - Organic Chemistry | OpenStax". openstax.org. Retrieved 7 October 2024.
  2. ^ L.G. Wade's Organic Chemistry 5th Ed. (p 319) – Mechanism supplements original.
  3. ^ a b c d e f g h March, Jerry (1992). Advanced Organic Chemistry: Reactions, Mechanisms, and Structure (4th ed.). New York: Wiley. ISBN 0-471-60180-2.
  4. ^ Kharasch, M. S.; Mayo, Frank R. (1933). "The Peroxide Effect in the Addition of Reagents to Unsaturated Compounds. I. The Addition of Hydrogen Bromide to Allyl Bromide". Journal of the American Chemical Society. 55 (6): 2468–2496. Bibcode:1933JAChS..55.2468K. doi:10.1021/ja01333a041.
  5. ^ a b c d e f g h i j k Stacey, F. W.; Harris, J. F., Jr. (30 April 2004). "Formation of carbon-hetero atom bonds by free-radical chain additions to carbon-carbon multiple bonds". In Denmark, Scott E. (ed.). Organic Reactions (1 ed.). Wiley. doi:10.1002/0471264180.or013.04. ISBN 978-0-471-26418-7.
  6. ^ a b c Dreessen, Tim; Jargstorff, Christian; Lietzau, Lars; Plath, Christian; Stademann, Arne; and Wille, Uta (2004). "Self-Terminating, Oxidative Radical Cyclizations". Molecules, issue 9, pp. 480–497.