Linomide

Linomide
Clinical data
ATC code
Pharmacokinetic data
Elimination half-life26-42 hours
Identifiers
  • 4-hydroxy-N,1-dimethyl-2-oxo-N-
    phenyl-1,2-dihydroquinoline-3-carboxamide
CAS Number
PubChem CID
DrugBank
ChemSpider
UNII
KEGG
ChEBI
ChEMBL
CompTox Dashboard (EPA)
ECHA InfoCard100.163.758
Chemical and physical data
FormulaC18H16N2O3
Molar mass308.337 g·mol−1
3D model (JSmol)
  • CN1C2=CC=CC=C2C(=C(C1=O)C(=O)N(C)C3=CC=CC=C3)O
  • InChI=1S/C18H16N2O3/c1-19(12-8-4-3-5-9-12)17(22)15-16(21)13-10-6-7-11-14(13)20(2)18(15)23/h3-11,21H,1-2H3 ☒N
  • Key:SGOOQMRIPALTEL-UHFFFAOYSA-N ☒N
 ☒NcheckY (what is this?)  (verify)

Linomide (Roquinimex) is a quinoline derivative immunostimulant which increases NK cell activity and macrophage cytotoxicity. It also inhibits angiogenesis and reduces the secretion of TNF alpha.

Linomide has been investigated as a treatment for some cancers (including as adjuvant therapy after bone marrow transplantation in acute leukemia) and autoimmune diseases, such as multiple sclerosis[1][2] and recent-onset type I diabetes.[3] Several trials have been terminated due to serious cardiovascular toxicity.

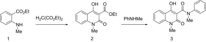
Synthesis

Linomide synthesis:[4]

Ethyl 2-(methylamino)benzoate is condensed with ethyl malonate. Amine-ester interchange of that compound with N-methylaniline results in formation of the amide linomide.

References

  1. ^ Weilbach EX, Hartung HP (August 1996). "[Immune modulation in multiple sclerosis: linomide]". Der Nervenarzt (in German). 67 (8): 701–5. doi:10.1007/s001150050044. PMID 8805117. S2CID 31845910.
  2. ^ Hedlund G, Link H, Zhu J, Xiao BG (June 2001). "Effects of Linomide on immune cells and cytokines inhibit autoimmune pathologies of the central and peripheral nervous system". International Immunopharmacology. 1 (6): 1123–30. doi:10.1016/s1567-5769(01)00041-8. PMID 11407306.
  3. ^ Gross DJ, Weiss L, Reibstein I, Hedlund G, Dahlén E, Rapoport MJ, Slavin S (June 2001). "The immunomodulator Linomide: role in treatment and prevention of autoimmune diabetes mellitus". International Immunopharmacology. 1 (6): 1131–9. doi:10.1016/s1567-5769(01)00042-x. PMID 11407307.
  4. ^ EP 59698, Eriksoo, Edgar; Sandberg, Eva Britt-Marie & Stalhandsk, Lars Johan Torbjörn, "Heterocyclic carboxamides, compositions containing such compounds, processes for their preparation and methods of treatment therewith", published 1982-09-08, assigned to AB Leo ; E. Eriksoo et al., U.S. patent 4,738,971 (1988 to AB Leo).