Nifurzide

Nifurzide
Clinical data
AHFS/Drugs.comInternational Drug Names
ATC code
Identifiers
  • 5-Nitro-N′-[(1E,2E)-3-(5-nitro-2-furyl)-2-propen-1-ylidene]-2-thiophenecarbohydrazide
CAS Number
PubChem CID
ChemSpider
UNII
KEGG
ECHA InfoCard100.049.735
Chemical and physical data
FormulaC12H8N4O6S
Molar mass336.28 g·mol−1
3D model (JSmol)
  • [O-][N+](=O)c1ccc(o1)/C=C/C=N/NC(=O)c2ccc(s2)[N+](=O)[O-]
  • InChI=1S/C12H8N4O6S/c17-12(9-4-6-11(23-9)16(20)21)14-13-7-1-2-8-3-5-10(22-8)15(18)19/h1-7H,(H,14,17)/b2-1+,13-7+
  • Key:IDUMOVRJNBNOTR-BIZLIJPVSA-N
  (verify)

Nifurzide is a nitrofuran derivative and intestinal anti-infectious agent active against Escherichia coli.[1]

Synthesis

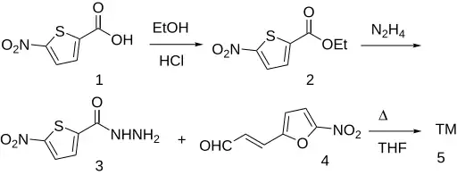
Esterification of 5-nitrothiophene-2-carboxylic acid (1) with ethanol gives the ester (2). Treatment with hydrazine forms its hydrazide (3). Nifurzide is the hydrazone formed between (3) and 5-nitrofuran-2-acrylaldehyde (4).[2][3][4]

References

  1. ^ Delsarte A, Faway M, Frère JM, Coyette J, Calberg-Bacq CM, Heinen E (March 1981). "Nifurzide, a nitrofuran antiinfectious agent: interaction with Escherichia coli cells". Antimicrobial Agents and Chemotherapy. 19 (3): 477–86. doi:10.1128/aac.19.3.477. PMC 181457. PMID 7018391.
  2. ^ US patent 3847911, Szarvasi E, Fontaine L, "Novel substituted(nitrofurylacrylidene)hydrazines with antibacterial properties", issued 1974-11-12 
  3. ^ Szarvasi E, Fontaine L, Betbeder-Matibet A (March 1973). "Antimicrobials. New nitrofuran derivatives". Journal of Medicinal Chemistry. 16 (3): 281–287. doi:10.1021/jm00261a027. PMID 4200221.
  4. ^ "Nifurzide". Pharmaceutical Substances. Thieme. Retrieved 2024-07-02.