Thujopsene

Thujopsene
Names
Preferred IUPAC name
(1aS,4aS,8aS)-2,4a,8,8-Tetramethyl-1,1a,4,4a,5,6,7,8-octahydrocyclopropa[d]naphthalene
Other names
Sesquichamene; Thujopsen; Widdrene
Identifiers
3D model (JSmol)
ChEBI
ChemSpider
ECHA InfoCard 100.006.753
UNII
  • InChI=1S/C15H24/c1-11-6-9-14(4)8-5-7-13(2,3)15(14)10-12(11)15/h6,12H,5,7-10H2,1-4H3/t12-,14-,15-/m0/s1
    Key: WXQGPFZDVCRBME-QEJZJMRPSA-N
  • InChI=1/C15H24/c1-11-6-9-14(4)8-5-7-13(2,3)15(14)10-12(11)15/h6,12H,5,7-10H2,1-4H3/t12-,14-,15-/m0/s1
    Key: WXQGPFZDVCRBME-QEJZJMRPBP
  • C\2=C(\[C@H]3[C@@]1([C@](CCCC1(C)C)(C)C/2)C3)C
Properties
C15H24
Molar mass 204.357 g·mol−1
Density 0.936 g/mL (20 °C)[1]
Boiling point 258 to 260 °C (496 to 500 °F; 531 to 533 K)[1]
Except where otherwise noted, data are given for materials in their standard state (at 25 °C [77 °F], 100 kPa).
Infobox references

Thujopsene is a natural chemical compound, classified as a sesquiterpene, with the molecular formula C15H24.

Thujopsene is found in the essential oil of a variety of conifers,[2] in particular Juniperus cedrus and Thujopsis dolabrata in which it comprises around 2.2% of the weight of the heartwood.[3]

Biosynthesis

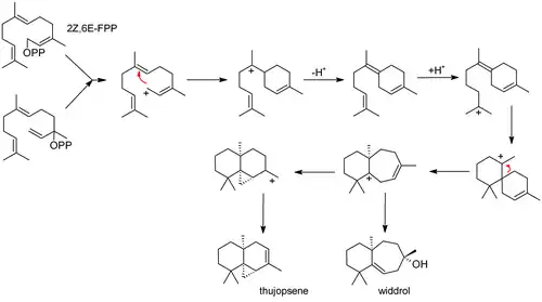
Thujopsene is biosynthesized from farnesyl pyrophosphate (FPP):[4]

References

  1. ^ a b "(−)-Thujopsene". Sigma-Aldrich.
  2. ^ Erdtman, H.; Norin, T. (1960). "Structure of thujopsene and hinokiic acid from coniferous wood". Chemistry and Industry (22): 622–623.
  3. ^ Runeburg, Jarl; Gramstad, Thor; Larsson, Lennart; Dodson, R. M. (1960). "The Chemistry of the Natural Order Cupressales XXX. Constituents of Juniperus cedrus L.". Acta Chemica Scandinavica. 14: 1991–1994. doi:10.3891/acta.chem.scand.14-1991.
  4. ^ J. Mann; et al. (1994). Natural Products: their chemistry and biological significance. Longman Scientific & Technical. ISBN 978-0582060098.