Vilsmeier reagent

Vilsmeier reagent
Names
Preferred IUPAC name
1-Chloro-N,N-dimethyl­methan­iminium chloride
Other names
(chloromethylene)dimethyl­iminium chloride
Identifiers
3D model (JSmol)
ChEMBL
ChemSpider
ECHA InfoCard 100.102.443
EC Number
  • 425-970-6
UNII
  • InChI=1S/C3H7ClN.ClH/c1-5(2)3-4;/h3H,1-2H3;1H/q+1;/p-1
    Key: QQVDYSUDFZZPSU-UHFFFAOYSA-M
  • C[N+](=CCl)C.[Cl-]
Properties
C3H7Cl2N
Molar mass 128.00 g·mol−1
Appearance white solid
Melting point 132 °C (270 °F; 405 K)
Hazards
GHS labelling:
GHS05: CorrosiveGHS07: Exclamation markGHS08: Health hazard
Danger
H290, H302, H314, H360
P201, P202, P234, P260, P264, P270, P280, P281, P301+P312, P301+P330+P331, P303+P361+P353, P304+P340, P305+P351+P338, P308+P313, P310, P321, P330, P363, P390, P404, P405, P501
Except where otherwise noted, data are given for materials in their standard state (at 25 °C [77 °F], 100 kPa).
Infobox references

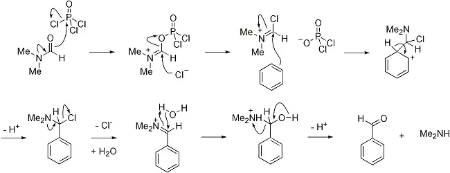
The Vilsmeier reagent is an organic compound with the formula [(CH3)2NCHCl]Cl. It is a salt consisting of the N,N-dimethyl­iminium cation ([(CH3)2N=CHCl]+) and chloride anion. Depending on the particular reaction, the anion can vary. In typical POCl3-based reactions, the anion is PO2Cl2. The iminium cation [(CH3)2N=CHCl]+ is the reactive component of interest. This iminium species is a derivative of the imidoyl chloride CH3N=CHCl. Analogues of this particular reagent are generated when tertiary amides other than DMF are treated with POCl3.

The salt is a white solid that is soluble in polar organic solvents. Vilsmeier reagent is the active intermediate in the formylation reactions, the Vilsmeier reaction or Vilsmeier-Haack reaction that use mixtures of dimethylformamide and phosphorus oxychloride to generate the Vilsmeier reagent, which in turn is attacked by a nucleophilic substrate and eventually hydrolyzes to give formyl. It is a source of "O=CH+".[1]

Pathway for formation of Vilsmeier reagent and its mode of action.[2]

See also

References

  1. ^ Paul R. Giles; Charles M. Marson (2001). "Dimethylchloromethyleneammonium Chloride". Encyclopedia of Reagents for Organic Synthesis. doi:10.1002/047084289X.rd319m. ISBN 0-471-93623-5.
  2. ^ Jones, G.; Stanforth, S. P. (2000). "The Vilsmeier Reaction of Non-Aromatic Compounds". Org. React. 56 (2): 355–686. doi:10.1002/0471264180.or056.02.