XITS font project

XITS font project
CategoryVarious
ClassificationTransitional
Designer(s)Khaled Hosny
FoundryAlif Type
Date created2010
Date released2019
LicenseSIL Open Font License
Design based onSTIX Fonts project
Also known asXITS Math
Websitehttps://github.com/aliftype/xits
Latest release version1.302
Latest release date2 July 2020

The XITS font project is an OpenType implementation of STIX fonts version 1.x with math support for mathematical and scientific publishing.[1] The main mission of the Times-like XITS typeface is to provide a version of STIX fonts enriched with the OpenType MATH extension.[1]

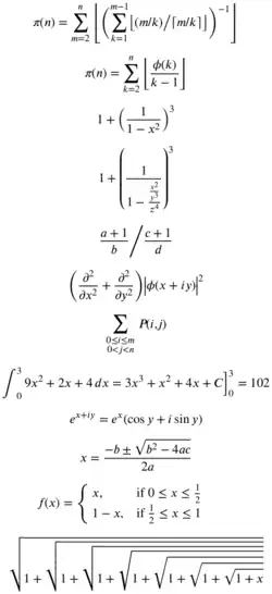
Specimen of XITS Math usage

Features

  • OpenType mathematical layout features needed for use with new formula editor in MS Office 2007 and the new TeX engines XeTeX and LuaTeX, providing high quality mathematical typesetting.
  • Right to left and Arabic mathematical notation support (since version 1.011[2]).
  • General OpenType features in text fonts (Kerning, Standard Ligatures, Fractions, Small Caps, and Inferior, Superior and Oldstyle Figures).[3]

See also

Other OpenType fonts with mathematical layout extensions:

XITS is shipped with:

References

  1. ^ a b "First STIX and now XITS | خالد حسني". www.khaledhosny.org (in Arabic). Archived from the original on 11 November 2016. Retrieved 4 August 2025.
  2. ^ Version 1.011 announcement
  3. ^ "The LaTeX Font Catalogue – XITS". tug.org. Retrieved 4 August 2025.
  4. ^ "CTAN: Package xits". ctan.org. Retrieved 4 August 2025.